Chap 10 Homework

10: 1, 3, 6, 8, 9, 12, (15)


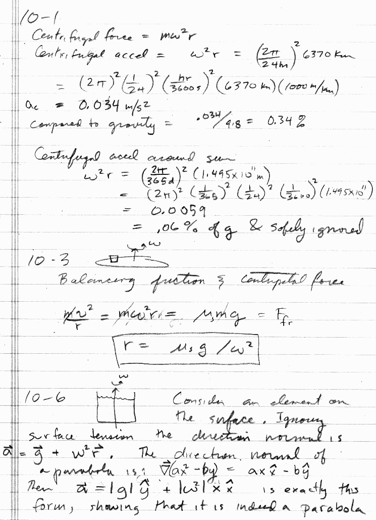
1, 3, 6



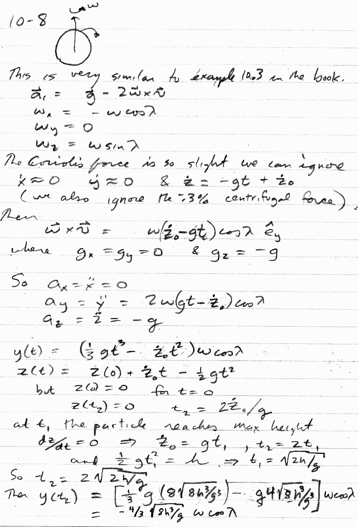
8



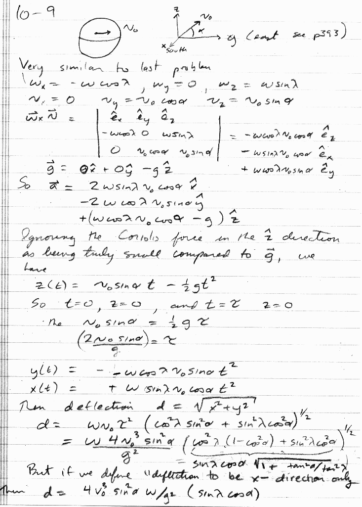
9



12



15