Chap 5 Homework

5: 3, 5, 7, 15, 16, 19


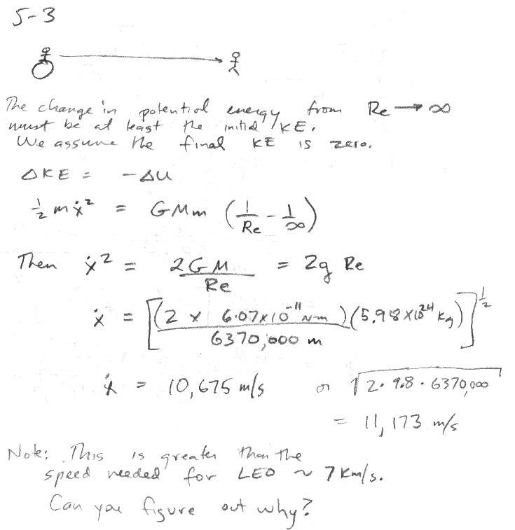
3



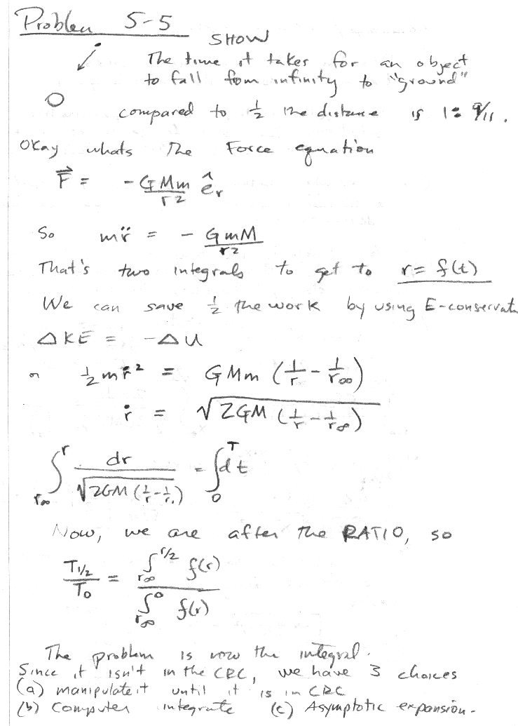
5





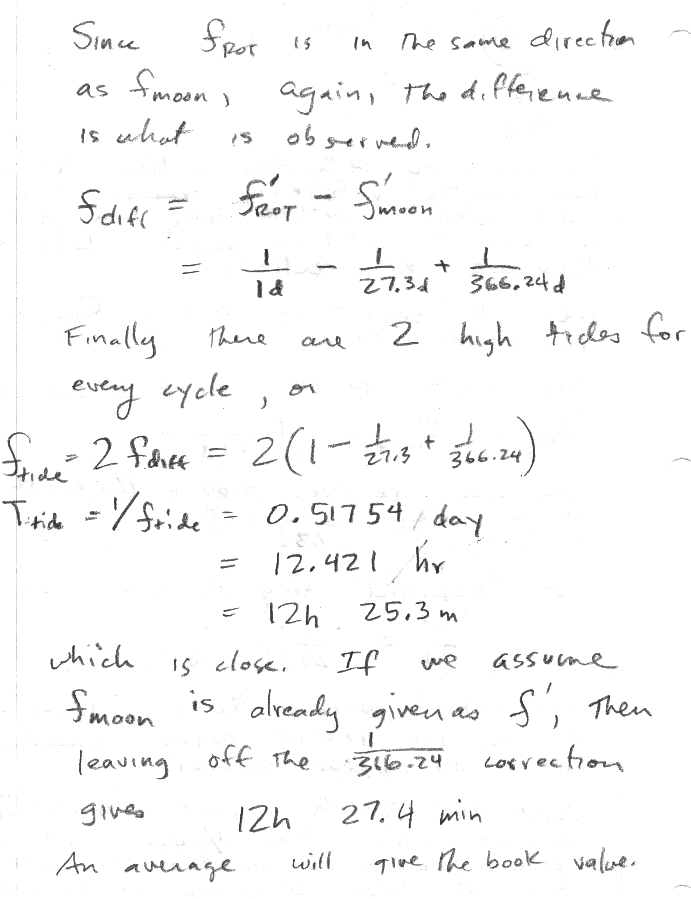
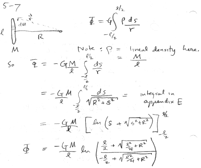
7



15



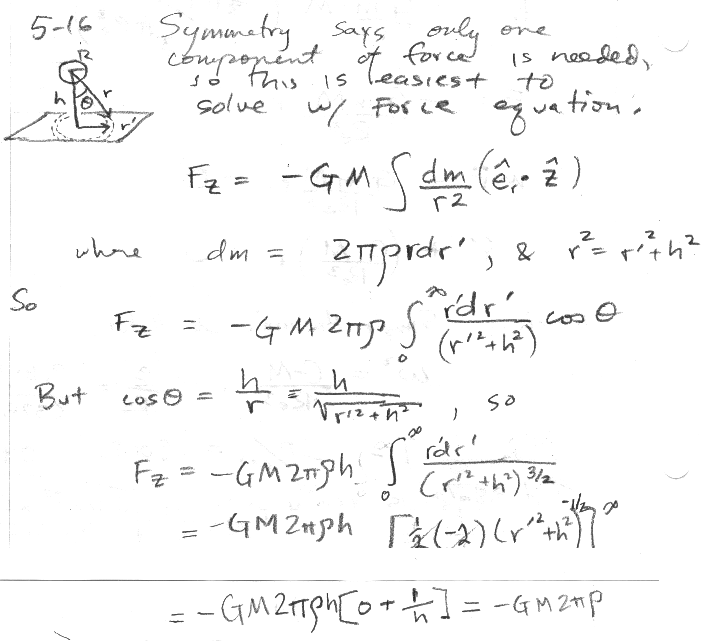
16



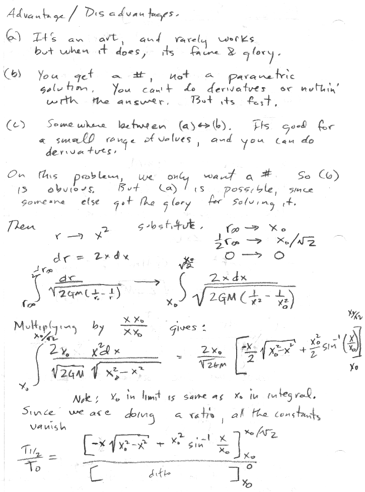
19