Chap 7 Homework

7:6, 7, 18, 22, 28, 31, (34)


6



7



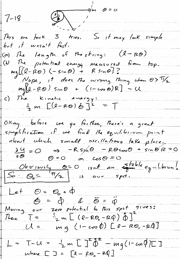
18





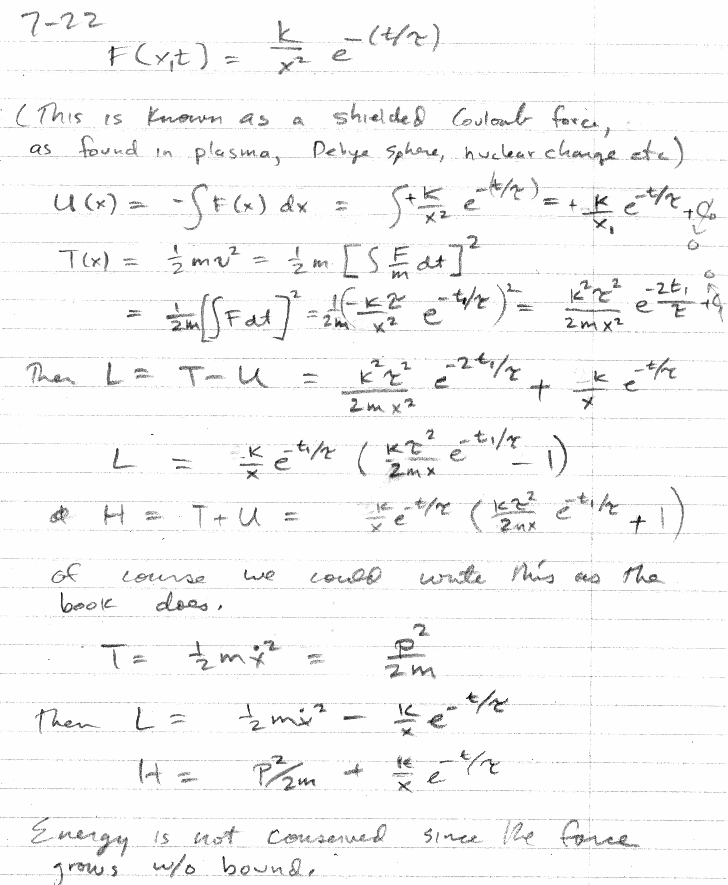
22



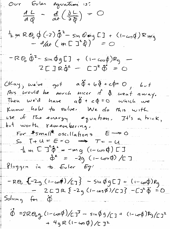
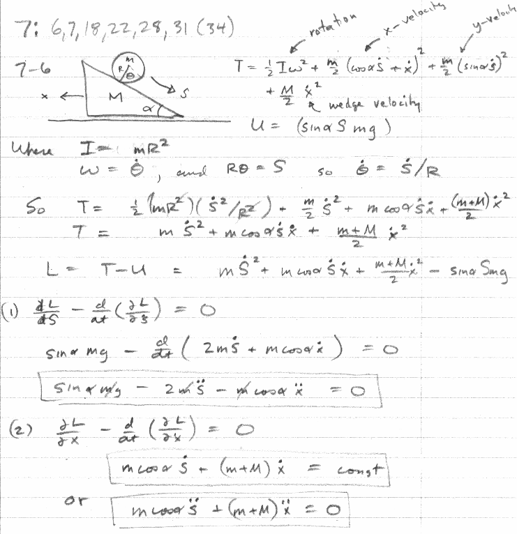
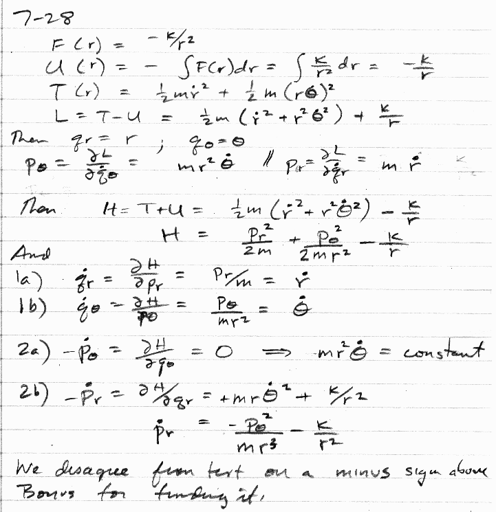
28



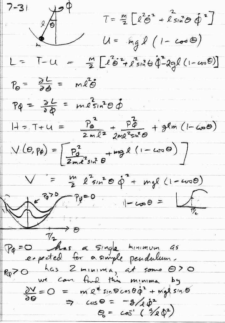
31




34