Chap 8 Homework

8: 4, 12, 18, 25, 29, 38, Bonus 40


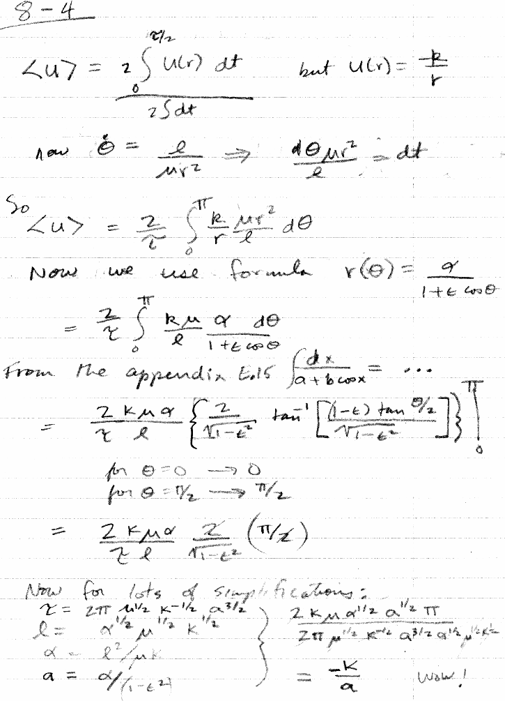
4




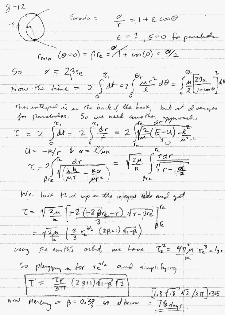
12



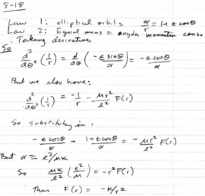
18



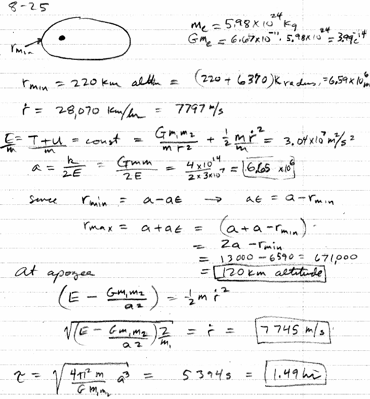
25



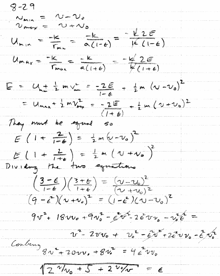
29



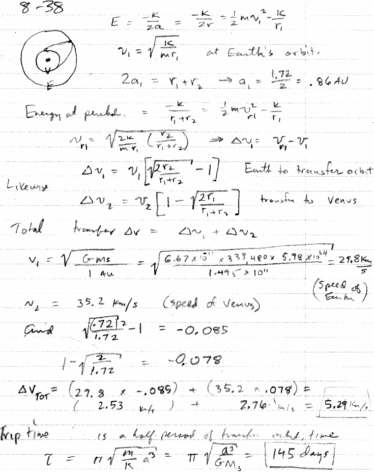
38



40