AST/PH 106 Astronomy Chapter 24

Homework Problems

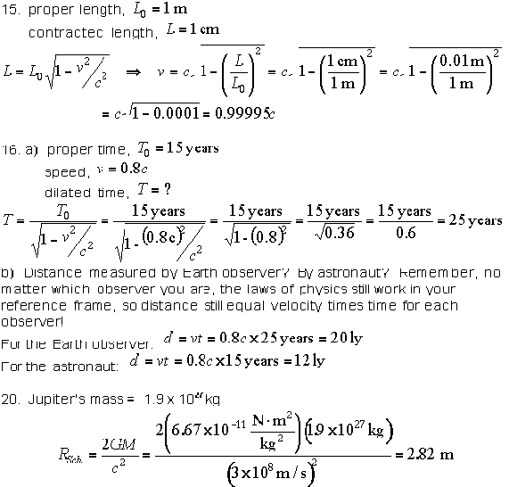
4,6,10,11,12,14,15,16,20,22

Solutions

[4,6,10,11,12,14]

[15,16,20]

[22,3]


Go To Top