Chapter 27
Homework Problems (Due Mar 16)
1, 5, 8, 10, 16, 34, 38, 43, 56, 61
Solutions
[01]

[05]

[08]

[10]

[16]
Use equation 27-16
Resistance = Resistivity * length / Area
R = 3e-7 Ohm-m * 10 km * 1000 m/km / (56 cm^2 x 1m^2/10000cm^2)
R = 30/56 = 0.53 Ohms

[34]


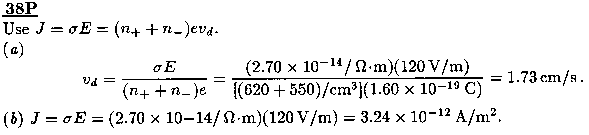
[38]

[43]

[56]

[61]

Go To Top