Chapter 28

Homework Problems (Due Mar 18)

1, 12, 16, 27, 30, 34, 48, 53, 65, 72

Solutions

[01]

[12]

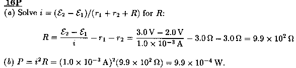
[16]

[27]


[30]

[34]

[48]


[53]

[65]

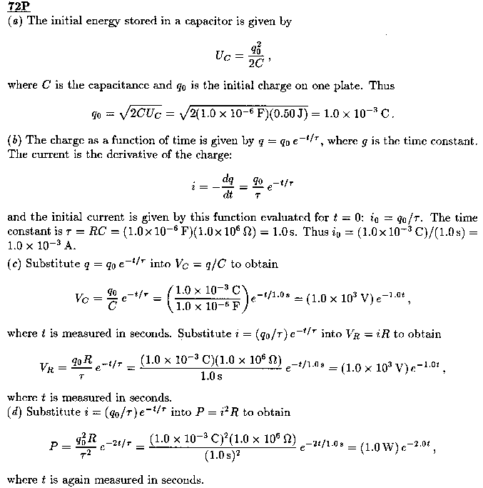
[72]


Go To Top