Chapter 30

Homework Problems (Due Apr 6 )

1, 18, 27, 37, 38, 46, 53, 62, 64, 69

Solutions

[01]

[18]

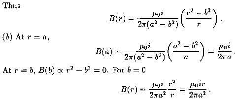
[27]

[37]

[46]


[53]

[62]

[64]

[69]


Go To Top