Chapter 31

Homework Problems (Due Apr 15)

1, 31, 40, 45, 51, 58, 69, 74, 83, 93

Solutions

[01]

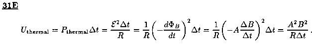
[31]

[40]

[45]

[51]

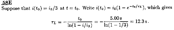
[58]

[69]


[74]

[83]

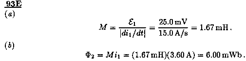
[93]


Go To Top