Chapter 32

Homework Problems (Due Apr 20)

1, 5, 11, 18, 20, 28, 36, 40, 3, 9

Solutions

[01]

[03]


[05]

[09]

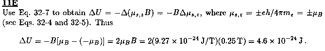
[11]

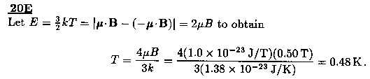
[18]

[20]

[28]

[36]


[40]


Go To Top