Solutions to Chapter 1 Homework

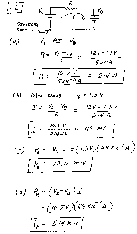
  1. Problem 1-6
  2. Problem 1-9
  3. Problem 1-14
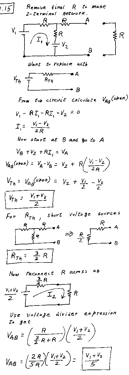
  4. Problem 1-15
  5. Problem 1-16
  6. Problem 1-23
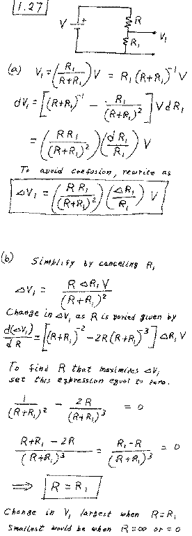
  7. Problem 1-27

Comments? sheldon*r@email.uah.edu
(due to spamming, remove the asterisk)