Solutions to Chapter 2 Homework

  1. Problem 2-1
  2. Problem 2-3
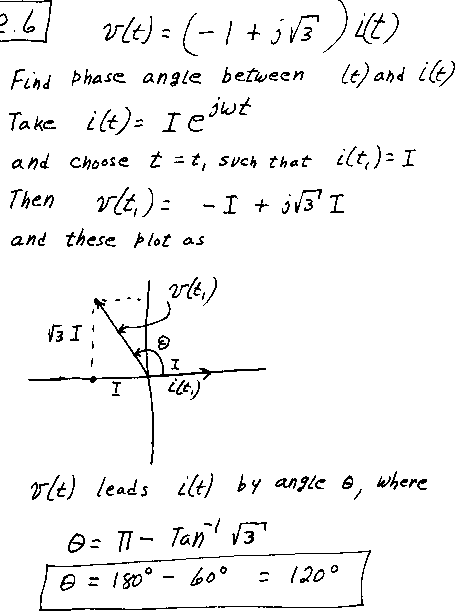
  3. Problem 2-6
  4. Problem 2-8
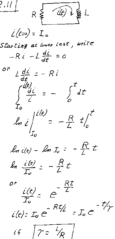
  5. Problem 2-11
  6. Problem 2-12

Comments? sheldon*r@email.uah.edu
(due to spamming, remove the asterisk)