Solutions to Chapter 2 Homework

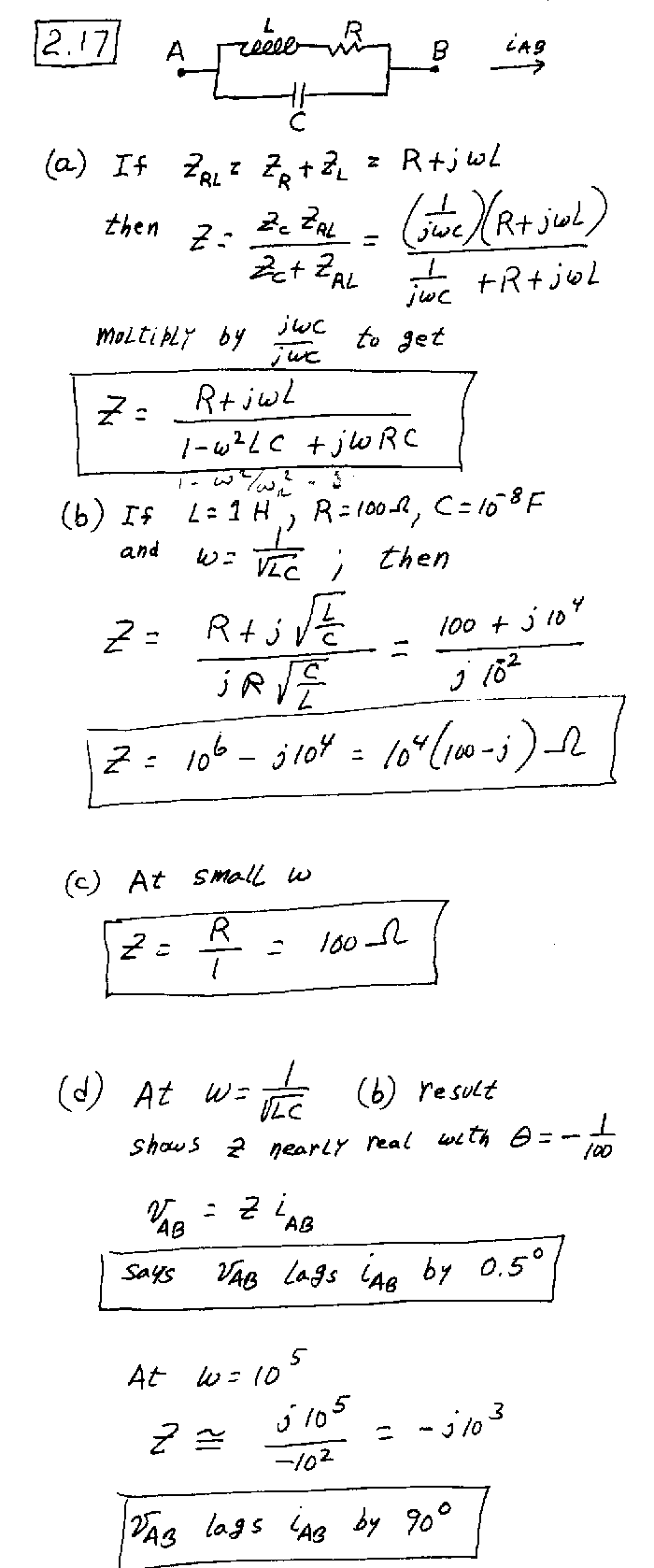
  1. Problem 2-17
  2. Problem 2-18
  3. Problem 2-20
  4. Problem 2-23
  5. Problem 2-25
  6. Problem 2-30

Comments? sheldon*r@email.uah.edu
(due to spamming, remove the asterisk)