Solutions to Chapter 5 Homework

  1. Problem 5-3
  2. Problem 5-5
  3. Problem 5-6
  4. Problem 5-8
  5. Problem 5-11
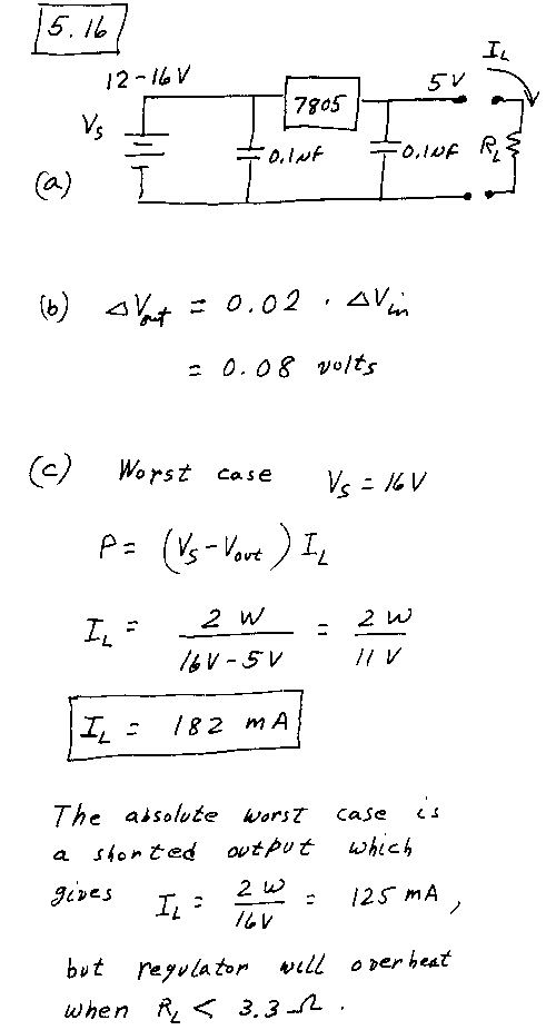
  6. Problem 5-16

Comments? sheldon*r@uah.edu
(due to spamming, remove the asterisk)