Solutions to Chapter 6 Homework

  1. Problem 6-6
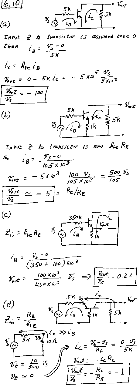
  2. Problem 6-10
  3. Problem 6-12
  4. Problem 6-18
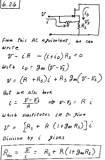
  5. Problem 6-26
  6. Problem 6-30

Comments? sheldon*r@uah.edu
(due to spamming, remove the asterisk)