Chapter 40

Homework Problems

14,21,27,34,46,49

Solutions

[14]

[21]

[27]

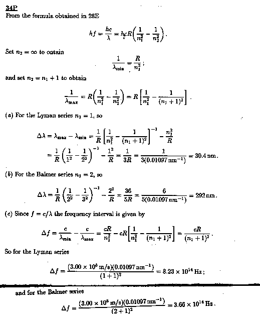
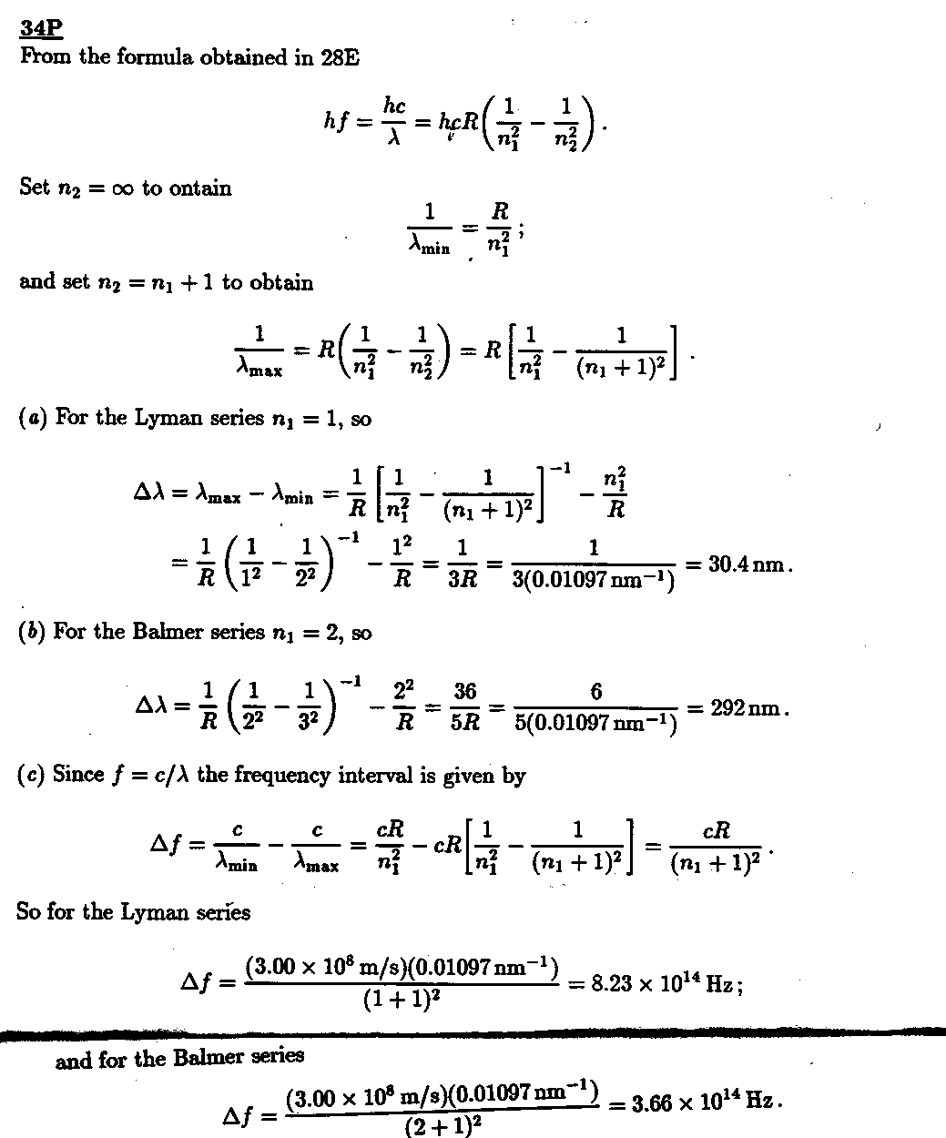
[34]

[46]

[49]


Go To Top