Chapter 43

(Click on the link)

Homework Problems

22,41,50,63,71,80

Solutions

[22]
This solution is Wrong! They should have used 931.502 MeV/u!

[41]

[50]
This solution is Wrong! I get 71 MeV for the barrier height!

[63]

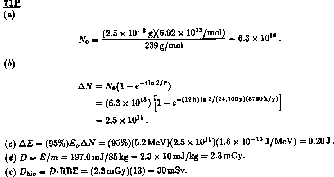
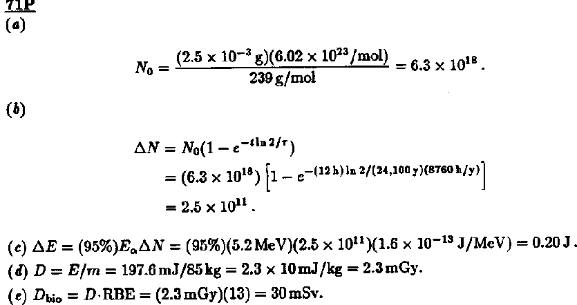
[71]

[80]


Go To Top